【技术背景】
第五代废电池回收技术包括废铅酸电池、废锂离子电池、废燃料电池等废电池的污染防治、清洁资源化、先进制造技术。各种废电池含有重要的战略资源,而目前废电池回收市场缺口巨大,比如我国每年废铅酸电池500万吨左右,而实际循环220万吨左右;随着新能源汽车保有量的快速增长,锂离子电池理论回收量达到47.8万吨,但是实际可统计的真实回收量仅为19.6万吨,占比仅为41%;新兴的钠离子电池和燃料电池等暂时只有华中科技大学具备可产业化的再生技术。虽然电池在使用过程中不会产生有毒有害的物质,但如果不能对废电池进行正确、有效地处理,将会给环境带来极大污染风险隐患和资源浪费。对各种废电池加以回收再生,不仅可以消除废电池带来的各种危害,还能通过资源循环和高端制造产生新的经济增长点。
【痛点问题】
1、废电池传统回收模式依赖冶炼技术导致的次生环境问题;
2、资源化产品形式单一,且资源化产品价值偏低;
3、项目设备投资额度大、投资回报周期长;
4、废电池运输等过程中的环境管理和安全风险。
【解决方案】
本技术摒弃了传统冶炼模式,建立废电池回收的第五代技术,包括非冶炼模式的分布式清洁处置技术、废电池梯次回收利用技术、新型杂质去除与杂质的资源化技术、关键材料资源化同步生产高附加值产品的先进制造技术等系列成套技术。目前,工艺所有废水废气废渣二次污染可以达标处置,高附加值资源化产品经过验证达到市场标准。

图1 废电池回收第五代技术工艺路线图(以废铅酸电池为例)
【技术优势】
1、铅酸电池的铅膏对铅原料的纯度要求很高,一般采用高纯电解精铅(纯度>99.9990%),传统冶炼法的再生铅,其纯度无法达到这个要求。而本技术可以直接从再生铅中获得电解级的精铅。
2、本技术提出的制备工艺可以从废铅酸电池铅膏中稳定制得高附加值碘化铅原材料,如图2所示,通过废铅酸电池铅膏回收制备的碘化铅三个样品的XRD图谱都与标准谱线具有较高的一致性,前期武汉光电国家实验室对本技术再生铅制备的碘化铅进行钙钛矿电池测试,试验结果表明可以替代进口产品。

图2 废铅膏回收制碘化铅的实物图与XRD图
3、二氧化铅电极是现代电化学环境工程技术中常用的关键电极材料,本技术利用废铅膏回收制二氧化铅电极如图3所示。

图3 废铅膏回收制二氧化铅DSA阳极实物图
通过X射线衍射仪分析经废铅酸电池铅膏回收制备的钛基二氧化铅DSA阳极材料的晶形结构如图4所示,可以看出,从纯铅电解质和从回收铅电解质得到的二氧化铅表现出相同的晶形结构。

图4 废铅膏回收制二氧化铅DSA阳极中二氧化铅中间层α-PbO2与表层β-PbO2的XRD图
【性能指标】
将从回收铅制得的钛基二氧化铅阳极与市面上购买的钛基二氧化铅阳极进行性能测试对比对H酸进行高级氧化,发现二者表现出接近的性能。

图5 废铅膏回收制二氧化铅DSA阳极与商业钛基二氧化铅DSA阳极电化学高级氧化H酸性能对比

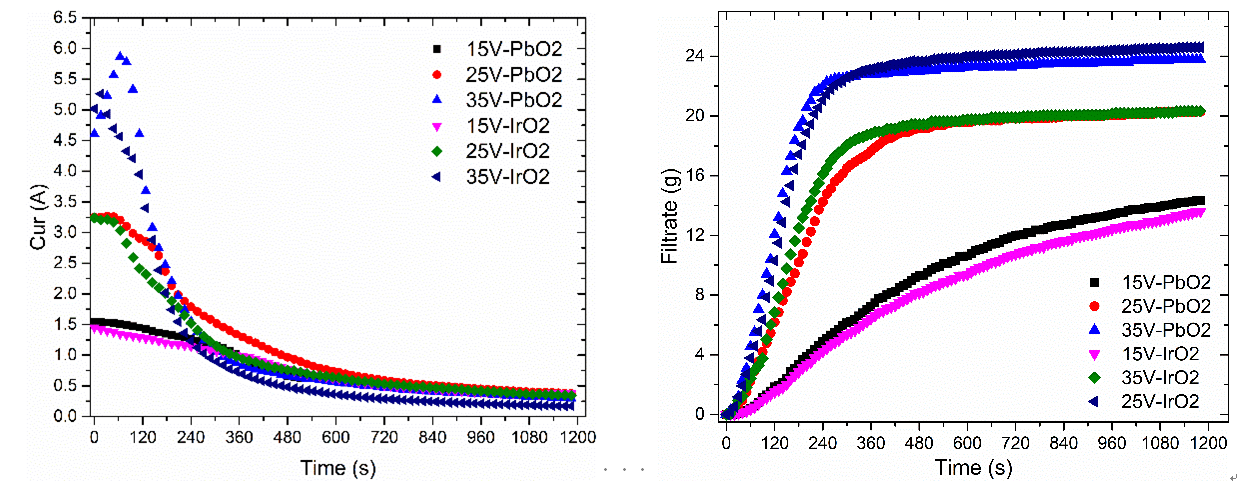
图6 废铅膏回收制二氧化铅DSA阳极与IrO2涂层DSA阳极电解污泥脱水性能对比
图6显示从废铅膏回收料制备二氧化铅阳极与课题组自制的高效IrO2涂层阳极对比电解污泥脱水性能??梢钥闯龆弑硐殖隽私咏牡缃馔阉阅?/span>。
【应用场景】
污染防治、资源循环、先进制造。
【市场前景】
预期市场包括三个方面:
1、定制化的固废处置服务,包括废电池、有害垃圾等。
2、资源化产品销售,包括高纯碘化铅、磷酸铁锂前驱体等。
3、基于再生料的生态环境保护电化学工程装备销售。
【知识产权】
该技术已申请多项中国发明专利,下表是部分展示:

【合作方式】
技术转让、技术服务、技术许可、技术入股、面谈等
【专家介绍】

吴旭,华中科技大学教授,博士生导师,我国“电化学环境工程”分支学科的开创者。引进国外电化学工程技术,积极开展教学、科研、学科平台建设工作,发表论文80余篇,授权专利20余项。面向生态文明建设和资源大循环等国家重大需求,围绕电池回收、再生资源、微电子制造、磷化工、畜禽养殖等产业的废渣、废水、废气及危险废物的处理与资源化,开展校企合作研发和成果转化,把论文写在祖国大地上。目前已有铅资源大循环成套技术(十余项专利)、废锂电池回收固态电解工艺、全套国产化的污泥电解脱水机、ESR系列氮磷回收电化学反应器、湿电子化学品再生关键技术等标志性成果转化成功案例。项目组已具备包括反应器结构设计、关键电极制作工艺、工程数值模拟方法、过程节能提效优化等研发能力,奠定了电化学环境工程分支学科高水平人才培养与成果转化相结合的发展模式。
【联系方式】
